Phenotypic evaluation of contest cattle in Sorong Regency, Southwest Papua, Indonesia: morphometric traits and body condition score
DOI:
https://doi.org/10.46549/jipvet.v16i1.634Keywords:
body condition score, chest girth, contest cattle, morphometric traits, phenotypic evaluation, principal component analysisAbstract
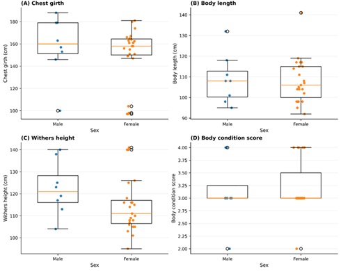
Phenotypic evaluation of contest cattle provides useful information for understanding body conformation and physical condition under field conditions, yet objective studies on contest-based cattle populations remain limited. This study aimed to evaluate morphometric traits and body condition score (BCS) of contest cattle from Sorong Regency, Southwest Papua, and to assess their variation according to district and sex, as well as the relationships among measured traits. Data were collected from 31 contest cattle originating from seven districts, consisting of 8 males and 23 females. The evaluated variables included chest girth (CG), body length (BL), withers height (WH), and BCS. Descriptive statistics were used to summarize the data, while sex and district effects were analyzed using the Mann–Whitney U test and Kruskal–Wallis test, respectively. Relationships among variables were examined using Spearman’s rank correlation, and principal component analysis (PCA) was applied to describe the multivariate structure of morphometric variation. The overall mean values were 152.60 ± 25.99 cm for CG, 108.26 ± 10.83 cm for BL, 116.58 ± 12.66 cm for WH, and 3.19 ± 0.54 for BCS. No significant differences were found between males and females for any variable. In contrast, district had a significant effect on WH and BCS, with the main difference occurring between Aimas and Mariat. Chest girth was positively correlated with BL (rho = 0.66, p < 0.001) and BCS (rho = 0.54, p < 0.01), indicating that this trait was the most informative single morphometric variable in the dataset. PCA showed that the first two principal components explained 87.55% of the total variation, representing general body size and vertical body structure. In conclusion, contest cattle in Sorong Regency exhibited greater phenotypic variation across districts than between sexes, and chest girth may serve as a practical indicator for field-based phenotypic evaluation of contest cattle.
Downloads
References
Azis R, Ciptadi G, Wahjuningsih S, Hariyono DNH, Tribudi YA, Nurgiartiningsih VMA. 2023. Prediction of body weight from body measurements in Bali cattle of Indonesia using regression analysis. Advances in Animal and Veterinary Sciences. 11(9); 1486–1491. https://doi.org/10.17582/journal.aavs/2023/11.9.1486.1491
Bila L, Malatji DP, Tyasi TL. 2023. Morphological characterization of Sussex cattle at Huntersvlei farm, Free State Province, South Africa. PLOS ONE. 18(9); e0292088. https://doi.org/10.1371/journal.pone.0292088
Doyle JL, Berry DP, Walsh SW, Veerkamp RF, Evans RD, Carthy TR. 2018. Genetic covariance components within and among linear type traits differ among contrasting beef cattle breeds. Journal of Animal Science. 96(5); 1628–1639. https://doi.org/10.1093/jas/sky076
Fernandes AFA, Neves HHR, Carvalheiro R, Oliveira JA, Queiroz SA. 2015. Body condition score of Nellore beef cows: A heritable measure to improve the selection of reproductive and maternal traits. Animal. 9(8); 1278–1284. https://doi.org/10.1017/S1751731115000154
Hentzen AHR, Holm DE. 2025. The potential of various phenotypic traits to predict feedlot production in cattle: A systematic review. Animal Production Science. 65(8); AN24245. https://doi.org/10.1071/AN24245
Jelantik IGN, Benu I, Malelak GEM. 2020. Influence of body condition score on carcass characteristics of cull Bali cows. IOP Conference Series: Earth and Environmental Science. 478(1); 012011. https://doi.org/10.1088/1755-1315/478/1/012011
Jiang XJ, Hao Y, Sun R, Bai YL, Song YX, Xia C. 2025. Investigation on body condition score, milk yield, reproductive performance, and health of dairy cows in four intensive dairy farms during lactation cycle. Polish Journal of Veterinary Sciences. 28(1); 51–61. https://doi.org/10.24425/pjvs.2025.154013
Kauffman RG, Russell RL, Skaar BR, Kiser JJ, Mandigo RW, Carr TR, Parrett DF. 2013. History of the meat animal evaluation contest: A pedagogical stimulant. Journal of Animal Science. 91(9); 4553–4562. https://doi.org/10.2527/jas.2013-6406
López-Carbonell D, Altarriba J, Ramírez MA, Srihi H, Varona L. 2023. Genetic correlations between morphological and reproductive, growth and carcass quality traits in the Pirenaica beef cattle breed. ITEA-Información Técnica Económica Agraria. 119; 225–243. https://doi.org/10.12706/itea.2023.002
Ma W, Qi X, Sun Y, Gao R, Ding L, Wang R, Peng C, Zhang J, Wu J, Xu Z, Li M, Zhao H, Huang S, Li Q. 2024. Computer vision-based measurement techniques for livestock body dimension and weight: A review. Agriculture. 14(2); 306. https://doi.org/10.3390/agriculture14020306
Machado PC, Brito LF, Martins R, Pinto LFB, Silva MR, Pedrosa VB. 2022. Genome-wide association analysis reveals novel loci related with visual score traits in Nellore cattle raised in pasture-based systems. Animals. 12(24); 3526. https://doi.org/10.3390/ani12243526
Mangun M, Duma Y, Malewa AD, Indriani I, Tanari M, Damry D. 2024. Body weight, body condition score, and morphometrics of Donggala cattle in Sigi Regency, Central Sulawesi, Indonesia. IOP Conference Series: Earth and Environmental Science. 1341(1); 012017. https://doi.org/10.1088/1755-1315/1341/1/012017
Morenikeji OB, Ogunshola OJ, Akinyemi MO, Wheto M, Chineke CA. 2021. Breed and sex effects on morphometric parameters of four indigenous cattle in Nigeria. Archivos de Zootecnia. 70(269); 6–12. https://doi.org/10.21071/az.v70i269.5412
Mustefa A. 2023. Implication of phenotypic and molecular characterization to breed differentiation of Ethiopian cattle: A review. Ecological Genetics and Genomics. 29; 100208. https://doi.org/10.1016/j.egg.2023.100208
Mustefa A, Hayelom M, Melak A. 2024. Breed differentiation in northern Ethiopian cattle: The application of univariate and multivariate analyses of phenotypic traits. PLOS ONE. 19(11); e0313190. https://doi.org/10.1371/journal.pone.0313190
Ramírez-Valverde R, Ramírez-Valverde G, Núñez-Domínguez R, Delgadillo-Zapata RA, Hernández-León M. 2016. Association between genetic evaluation and show-ring judging for dairy and beef cattle. Revista Colombiana de Ciencias Pecuarias. 29(1); 25–32. https://doi.org/10.17533/udea.rccp.v29n1a03
Roche JR, Friggens NC, Kay JK, Fisher MW, Stafford KJ, Berry DP. 2009. Body condition score and its association with dairy cow productivity, health, and welfare. Journal of Dairy Science. 92(12); 5769–5801. https://doi.org/10.3168/jds.2009-2431
Rojas-Espinoza R, Macedo R, Suaña A, Delgado A, Manrique YP, Rodríguez H, Quispe YM, Perez-Guerra UH, Pérez-Durand MG, García-Herreros M. 2023. Phenotypic characterization of Creole cattle in the Andean Highlands using bio-morphometric measures and zoometric indices. Animals. 13(11); 1843. https://doi.org/10.3390/ani13111843
Said S, Putra WPB, Anwar S, Agung PP, Yuhani H. 2017. Phenotypic, morphometric characterization and population structure of Pasundan cattle at West Java, Indonesia. Biodiversitas. 18(4); 1638–1645. https://doi.org/10.13057/biodiv/d180444
Sari DAP, Said S, Nahrowi, Priyanto R, Muladno. 2021. Effect of body condition score on reproductive performance and chest girth of Bali cows in different rearing systems. Jurnal Ilmu Ternak dan Veteriner. 26(4); 158–166. https://doi.org/10.14334/jitv.v26i4.2886
Soares FS, Dryden GML. 2011. A body condition scoring system for Bali cattle. Asian-Australasian Journal of Animal Sciences. 24(11); 1587–1594. https://doi.org/10.5713/ajas.2011.11070
Souza JS, Silveira DD, Teixeira BBM, Boligon AA. 2020. Parameters and genetic associations of visual scores and weights in Hereford and Braford breeds. Livestock Science. 241; 104216. https://doi.org/10.1016/j.livsci.2020.104216
Downloads
Published
How to Cite
Issue
Section
License
Copyright (c) 2026 Stefani F. Haryati, John A. Palulungan, Daniel Y. Seseray, Bernaddeta W. I. Rahayu, Rizki Arizona, Iriani Sumpe, Isti Widayati, Ditasari Amalia, Fitri A. Arief, Rizki Prasetya, Juni C. Dami , Riskayanti, Azchar P. P. Putra

This work is licensed under a Creative Commons Attribution-NonCommercial-ShareAlike 4.0 International License.
License and Copyright Agreement
In submitting the manuscript to the journal, the authors certify that:
- They are authorized by their co-authors to enter into these arrangements.
- The work described has not been formally published before, except in the form of an abstract or as part of a published lecture, review, thesis, or overlay journal. Please also carefully read Jurnal Ilmu Peternakan dan Veteriner Tropis (Journal of Tropical Animal and Veterinary Science) Posting Your Article Policy at https://journal.fapetunipa.ac.id/index.php/JIPVET/publicationethics
- That it is not under consideration for publication elsewhere,
- That its publication has been approved by all the author(s) and by the responsible authorities “tacitly or explicitly“ of the institutes where the work has been carried out.
- They secure the right to reproduce any material that has already been published or copyrighted elsewhere.
- They agree to the following license and copyright agreement.
Copyright
Authors who publish with Jurnal Ilmu Peternakan dan Veteriner Tropis (Journal of Tropical Animal and Veterinary Science) agree to the following terms:
- Authors retain copyright and grant the journal right of first publication with the work simultaneously licensed under a Creative Commons Attribution License (CC BY-NC-SA 4.0) that allows others to share the work with an acknowledgment of the work's authorship and initial publication in this journal.
- Authors are able to enter into separate, additional contractual arrangements for the non-exclusive distribution of the journal's published version of the work (e.g., post it to an institutional repository or publish it in a book), with an acknowledgment of its initial publication in this journal.
- Authors are permitted and encouraged to post their work online (e.g., in institutional repositories or on their website) prior to and during the submission process, as it can lead to productive exchanges, as well as earlier and greater citation of published work.

This work is licensed under a Creative Commons Attribution-NonCommercial-ShareAlike 4.0 International License.





